•••Please share in your community.•••
My name is Adeline. I need your zakat and sadaqah and help. For nearly three years, I’ve been living with the long-term effects of brain and spinal injuries — after a violent hate attack where a random stranger punched me in the face, down an escalator, followed by two separate car accidents (neither of which were my fault) that compounded and intensified the hate attack injuries.
Link:
https://www.iqra.ca/2023/toronto-police-urged-to-investigate-assault-on-muslim-woman-at-walmart-as-possible-hate-crime/
Since then, I’ve been navigating full-body injuries/pain and persistent multiple concussions:
• Vestibular dysfunction (dizziness, balance issues, motion sensitivity)
• Severe cognitive fatigue, memory issues, brain fog, and recurring migraines
• Visual overload and light/sound sensitivity
• Whiplash with neurological issues, along with neck and back pain triggered by even minimal activity
• An unpredictable energy baseline that makes daily life difficult to sustain, and working consistently impossible
• Other symptoms that I prefer to keep private
||| Verification Available |||
If you want to know more about who I am; see the photos in the GoFundMe; there are messages of support ❤️ You can scroll through them left to right, at the top of the page where you see the pic of the IV in my arm.
I have legal and medical documentation confirming the incidents and diagnoses. Some of it is on this GoFundMe in the pics; albeit redacted.
• The assault occurred in January 2023
• The car accidents happened in February 2023 and October 2024
If you’d like verification before donating, I can privately share documentation or connect you with my lawyer. You may also pay clinics directly if preferred. Contact me.
• BRIEF OVERVIEW •
I’m raising funds to cover four urgent and essential needs, that are NOT covered by the Canadian health care system, nor by my car insurance:
• Concussion Brain Injury Rehabilitation - $14 000
• Whiplash and Spinal Physical Therapy - $10 000
• High-Interest Medical and Survival Debt Relief - $9000
• Ongoing Survival Expenses Deficit - $4800
••• Why I’m Asking for Help Now •••
Quite simply, two reasons:
1️⃣ I hoped small support, my own means, and time would let me recover enough to work for my living.
2️⃣ My character and honour were and continue to be called into question and there have been formal attempts to thwart me from receiving zakat, for over 2.5+ years.
A new formal memo including my full legal name in these last few days has been spread widely with claims about me and directly attempting to thwart my receiving zakat; so I must respond. The memo explicitly advises people to not share my GoFundMe and to remove it from being posted and shared.
Some brief information follows here, and if you want more detail, you can scroll down to the “Updates” section of the GoFundMe to see my formal response to this formal memo’s claims, some medical documentation, and some messages of support of my character and actions.
In Brief;
After the 2023 attack, I sought help from Muslim institutions — many verified my case and helped in the ways they could, alhamdulillah, and I remain grateful.
However, claims against my honour, need for zakat, and integrity, that originated in ONE institution and its affiliates that began in 2023 have continued for over 2½ years, repeatedly damaging my honour, my reputation, and my ability to receive the zakat that I need.
Those who were and are still involved in these claims against my honour and against my need for zakat, never requested my documentation before making claims, yet their words spread widely enough to close doors that had once been open, and these claims continue to spread to this day. I stayed silent out of fear. I tried everything to survive alone. But now I have no choice except to ask — publicly, openly, humbly, and directly — for support so I can heal and return to work.
وَلَقَدْ فَتَنَّا ٱلَّذِينَ مِن قَبْلِهِمْ ۖ فَلَيَعْلَمَنَّ ٱللَّهُ ٱلَّذِينَ صَدَقُوا۟ وَلَيَعْلَمَنَّ ٱلْكَـٰذِبِينَ ٣ We certainly tested those before them. And in this way Allah will clearly distinguish between those who are truthful and those who are liars. Surah Al-‘Anakbut (29:3)
وَالَّذِينَ يُؤْذُونَ الْمُؤْمِنِينَ وَالْمُؤْمِنَاتِ بِغَيْرِ مَا اكْتَسَبُوا فَقَدِ احْتَمَلُوا بُهْتَانًا وَإِثْمًا مُّبِينًا And those who harm believing men and believing women for [something] other than what they have earned have certainly born upon themselves a slander and manifest sin. Surah Al-Ahzab (33:58)
واتق دعوة المظلوم؛ فإنه ليس بينها وبين الله حجاب “Beware the supplication of the oppressed, for there is no barrier between it and Allah.”
⸻
• What It’s Actually Like •
What you may have seen — me showing up to an event, attending a meeting, or working part-time — only tells half the story. I can maintain a normal appearance for short bursts of time.
What you don’t see are the hours (sometimes days) I spend in pain and exhaustion after doing even basic things like:
• Cooking a full meal
• Doing laundry
• Attending a short call, video meeting, or brief event
Because of this, I minimize doing anything at all. Most days, I spend long hours lying in bed, and I live primarily off drinking milk, because it’s affordable and requires no energy to prepare or consume.
Even during the period where I had part-time work, I didn’t have energy left to cook, clean, or care for myself. I was pushing through severe pain and depletion just to appear functional for a short 3 hour work shift.
To the people who know me — you’ve seen me do things in bursts but be inconsistent, flaky, unreliable, aloof, easily confused, always late to things or a no-show, and unresponsive to calls and texts. This is why.
⸻
I’ve realized I can’t keep minimizing or face alone what this has cost me — physically, emotionally, and financially.
I’ve already sold my gold.
I’ve sold nearly all possessions of value.
My credit cards are maxed.
I’ve relied on food banks for over a year.
I’ve moved again and again; trying to find a sustainable home for what my current budget can provide.
I’ve received what help I could from my parents and I’ve received some meaningful offers of small aid, from community members and institutions, that I am immensely grateful for.
I’ve tried starting small businesses using the skills I do have.
I’ve removed my niqab in attempt to gain employment and safety as I move in the public.
I’ve applied for flexible jobs that might accommodate my complex needs.
I’ve completed retraining programs and joined professional associations.
I’ve sought help from zakat institutions, the government, and I’ve stood on street corners with a bowl asking strangers for spare change.
I’ve accepted whatever healthcare I could access — though it’s always fallen short of what I truly need. I kept hoping that, with time and willpower, I could improve enough to recover sufficiently to maintain employment on my own.
But I haven’t.
And now, I need to ask — clearly and directly:
I need help.
Despite all of my health issues; since my attack I have relentlessly tried to improve my circumstances:
• Finished up the contract at my original place of employment in a multinational corporate head office; albeit incompetently as that was during the part of the original attack concussion where my intellect was…questionable
• Tutored online to international students, and taught in-person at an Islamic high school
• Founded and delivered on two non-profit projects
• Have a pre-seed tech startup, completed a tech fellowship and a tech incubator
• Launched an e-commerce brand and a service brand, and done consulting for entrepreneurs
• Networked incessantly to rebuild my community from zero after converting
• But all of these things aren’t yet sufficiently lucrative to get through a month; let alone handle big medical bills. I started businesses out of necessity; to try and make work for myself that accommodates my complex health needs. Yet; it takes time to get businesses off the ground to be at the level that you can have a genuine income. And working part-time is not enough for a living.
And I shouldn’t have been doing any of it — I should have been recovering with medical care and resting to speed my recovery along. Necessity called me to continue working.
أَحَسِبَ ٱلنَّاسُ أَن يُتْرَكُوٓا۟ أَن يَقُولُوٓا۟ ءَامَنَّا وَهُمْ لَا يُفْتَنُونَ ٢
Do people think once they say, “We believe,” that they will be left without being put to the test?
Surah Al-‘Anakbut (29:2)
⸻
• Why I’m Fundraising •
I’m raising funds to cover four urgent and essential needs:
1. Proper Concussion Brain Injury Rehabilitation $14 000
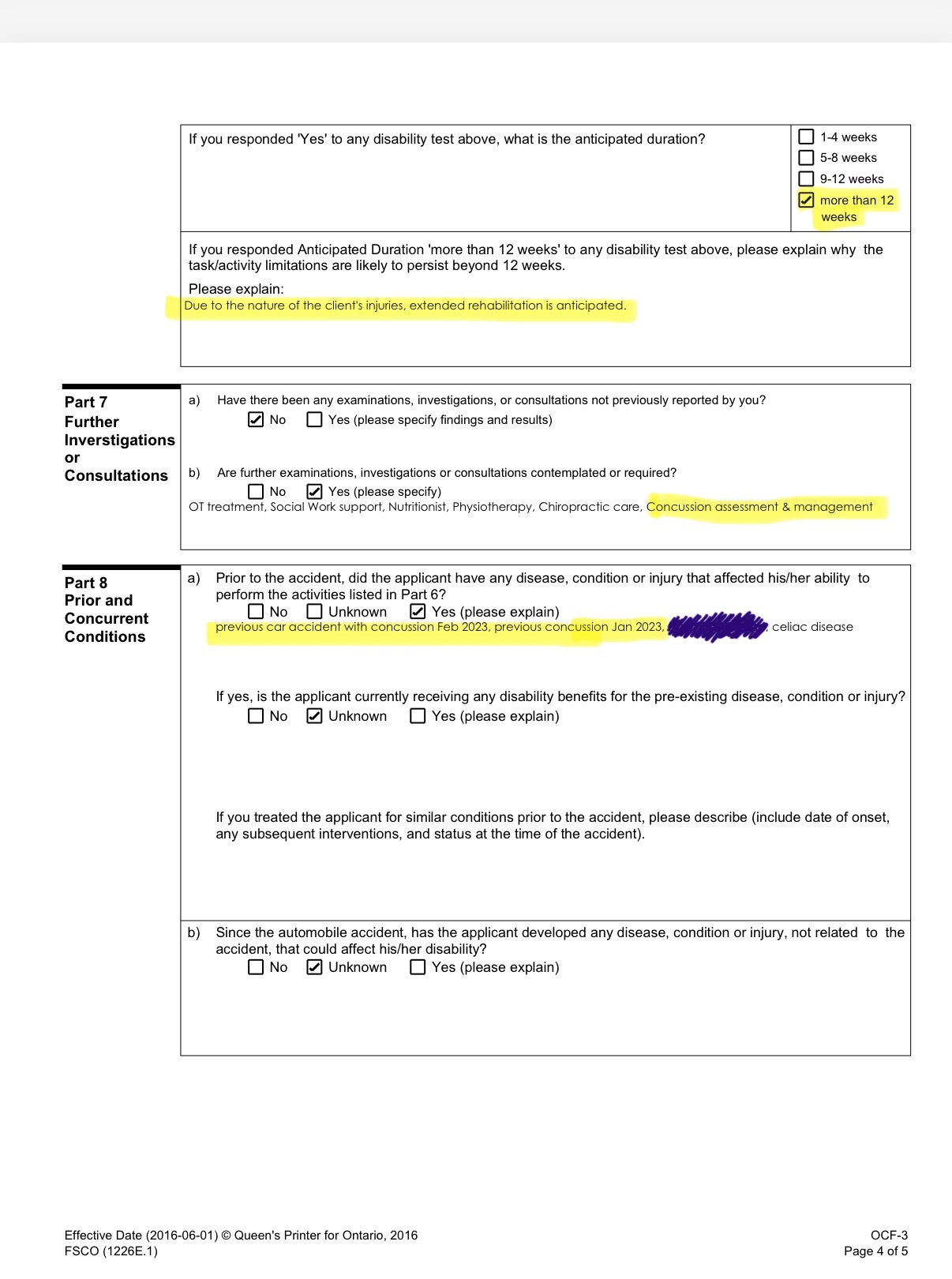
I’ve never received the full treatment I need, because car insurance has repeatedly delayed and denied proper care. I also received no compensation for the attack.
The therapies I’m seeking now — including vestibular rehab, neuro-optometric therapy, and other concussion-related treatments — are effective for cases like mine. But they’re expensive and not covered, despite the advocacy efforts of my doctor, lawyer, and other health professionals, for years.
With the right care, I believe I could finally stabilize enough to take care of myself properly and to re-enter the workforce.
2. Whiplash & Spinal Injury Physical Therapy $10 000
All three incidents resulted in severe whiplash. I’ve been diagnosed with WAD 3 (Whiplash-Associated Disorder, grade 3), which means I experience neurological symptoms, restricted physical mobility, and intense chronic pain.
This also affects blood flow and neurological connection, slowing my concussion recovery. Unfortunately, insurance does not cover the number of physiotherapy sessions I need to address this properly, nor do they even cover the full appointment costs of the ones they are paying for.
3. Relief from High-Interest Survival Debt $9000
I’ve been unable to work consistently since January 2023. In that time, I’ve had no choice but to take on basic living and medical costs on loans with high interest rates.
I’ve tried everything I could to support myself — but my health remains too unstable to maintain any reliable form of income.
4. Survival Costs $4800
Even with having the barest minimum expenses, I am at a deficit of at least $400 a month. So I’m asking for help for the approx one year it will take to recover while I’m receiving inshallah proper concussion and whiplash therapies.
I’ve done everything I could to avoid asking for help.
But I’ve reached the point where pushing through is no longer an option.
Full transparency: these numbers are conservative estimates. Full recovery most likely requires more, there are other health consequences that I have not mentioned here, but I wanted to post an amount that I believe I could achieve with your help. This $37k gives me a fighting chance to start getting my own sustainable survival income again part time inshallah.
⸻
• What Your Support Means •
If you’ve ever experienced a time when your body collapsed under you or your mind couldn’t keep up, you may understand just a fraction of what I’ve lived through — for nearly three years.
I’m not giving up.
But I’ve reached the edge of what I can do alone.
Your help — any amount — could tip this back toward healing.
Even $20, $50, or $100 helps cover:
• A whiplash or concussion session
• A day of pain relief
• A step toward functioning again
If you’re not able to donate, please consider sharing this with someone who might.
May your generosity return to you with mercy, strength, and ease.
With humility and hope,
Adeline






